• ENG
  • 当前位置:首页 > 产品与应用 > 学术天地
    【合壹专家】抗氧化专题总结(上)
    2023-04-25


    本篇文章将去年的抗氧化专题总结了一遍,并解释了一些细节。方便与前面的文章对应来看。合壹商埠2022年文章合集






    图1.机体内氧化稳态机制


    上图是一个杠杆,左边是氧自由基(ROS),右边是对抗氧自由基的机制,达到一个平衡。

    机体内生成的ROS迅速引起信号级联,刺激抗氧化酶、胱氨酸转运系统,进行扑灭,迅速、高效、有力,所以它在杠杆的最右边。如果自由基再多一点,就要动用机体内的抗氧化成分比如Vc、Ve、尿酸、谷胱甘肽等等。如果自由基产生过多,导致氧化应激,此时蛋白质开始发生水解生成氨基酸来对抗。这个过程效率很低,所以需要动用大量的蛋白质,最终导致皮肤干瘪、暗沉、不够水润。

    这就是抗氧化与抗衰之间比较简单的一种关系。


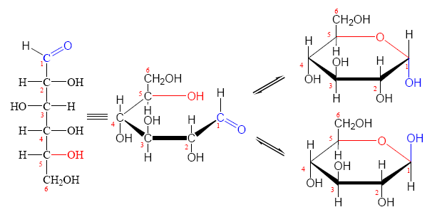
    细胞膜,细胞器膜都是脂质膜,含有很多不饱和脂肪酸,赋予其流动性,上面附着各种酶、信号感受器、通道等等。自由基攻击脂质膜产生小分子醛(如图中的丙二醛、4-羟基丙烯醛)就会和蛋白质发生反应,让酶的活性降低,蛋白质水解,膜的流动性变差。恰好还原糖也含有一个活泼醛基,机理一致。


    所以抗糖化的终极是抗氧化,但抗氧化涉及的内容就多多了。




    图2. 机体内自由基的产生与破坏作用


             

    图3. 葡萄糖的吡喃结构(上面α型,下面β型)


    图2中,右边超氧自由基在SOD的作用下转化为双氧水,但如果有亚铁离子、亚铜离子存在,超氧自由基和双氧水都可以转变为羟自由基,羟自由基目前是体内活性最强的自由基。

    其实游离的金属离子对油脂的氧化影响非常大,能迅速引起过氧化值的升高。在生命体内,表现有铁死亡:由亚铁离子催化不饱和脂肪酸产生脂质过氧化,从而引起细胞死亡。

    比如有很多工程师反映蓝铜肽与对羟基苯乙酮的不配伍,主要是蓝铜肽的游离铜离子会催化对羟基苯乙酮氧化而变色,所以蓝铜肽的品质很重要。

    在去黑眼圈的经典原料——黑洛西中,采用N-羟基琥珀酰亚胺来络合游离的铁离子。所以不论是配方稳定还是体内的功效,游离的金属离子都是需要重点关注的。

    注:铁离子,亚铁离子;铜离子,亚铜离子相互转化很容易


       图4显示双键的氧化过程,(1)双键直接被氧化,这个代表产品有环氧大豆油,通过控制来生成。(2)和(3)是双键的α位被氧化形成过氧化自由基,(3)的氧化速率远高于(2)。在自然状态下,(2)更容易发生,生成过氧化物,用过氧化值来体现。



    图4. 双键的氧化过程


    脂肪酸酯的氧化稳定性与分子的不饱和度紧密相关。

    在36.5℃,脂肪酸的相对氧化速率:油酸(1.0),亚油酸(8.0)、亚麻酸(21.7)、EPA+DHA(39.1)。

    油酸、亚油酸、亚麻酸、EPA和DHA的相对氧吸收率(在空气中暴露2天)分别<1、1、99、743和948。另外油酸的诱导期超过100天,而亚油酸和亚麻酸分别为50天和20天,EPA+DHA只有4天。所以不饱和度越高的油脂,越容易氧化。我们见到的深海鱼油,只能用胶囊来包装了。


    蛋白质糖基化是机体内非常重要的过程,迄今为止发现的蛋白质中有50%以上有糖基化修饰。这是一个生命主动过程,通过将特定的氨基与糖链结合,完成信号识别,避免蛋白质被水解等等。


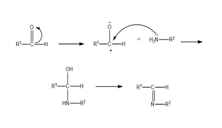
    但游离的醛也会与蛋白质的氨基发生亲核加成,产生非酶褐变(又称美拉德反应,见图5),这个是不可控的,摄入的糖分过多,或者由于氧化以及炎症产生的自由基过多,就会产生这个反应。其实大多数的斑,比如老年斑、晒斑等色斑中就存在美拉德反应,在真皮中,不一定是由于黑色素的沉淀导致,所以也特别难处理。


    图5. 羰氨反应,又称美拉德反应货非酶褐变反应


    羟基酪醇和橄榄苦苷是多酚结构(见图6),羟基酪醇极不稳定,在水中迅速氧化变黄,橄榄苦苷稍好。因此这两个都具有很强的抗氧化功能,当然也决定了它们在配方中不稳定。同时与酪氨酸近似的酚结构,使其具有抑制酪氨酸酶活性的能力。莱茵生物新开发了油橄榄叶提取物,光热稳定性都得到了很明显的提升,但活性物含量未发生变化。


    多酚可用焦亚硫酸钠保护,但橄榄苦苷不行,圆圈中的双键会与之反应。但实际上,橄榄苦苷最强的在于其抗炎能力,对于中性粒细胞聚集这个指标来说,能媲美地塞米松甚至更强(原料浓度是地塞米松2倍,橄榄苦苷浓度与之一致)。本实验室经常将它与β-葡聚糖合用来舒缓高刺激性活性物,效果极佳。


    图6. 羟基酪醇和橄榄苦苷的结构


    图7. 油橄榄叶提取物具有抗氧化和抑制酪氨酸酶活性的作用


    那为什么我们的原料橄榄苦苷和羟基酪醇不能同时出现在一个产品中:

      羟基酪醇主要由橄榄苦苷水解(酶法或者酸法)来获取,提取目的不同,提取工艺不一样,所以产物不同。


    但油橄榄叶中同时存在橄榄苦苷和羟基酪醇,是因为溶解性不同而不能同时存在于同一个产品吗?

    不是,是因为羟基酪醇含量更少也更不稳定,橄榄苦苷最后喷雾干燥的时候,有可能羟基酪醇会全部损失掉;而羟基酪醇的提取需要将橄榄苦苷全部水解,然后采用淀粉或者糊精填充来增加其稳定性。



      

  • 关闭

    合壹商埠(广州)贸易发展有限公司

    电话:+86-15989178436  

               020-31920473

    地址:广州市白云区太和镇大沥新庄东南街1号
    
    合壹商埠(广州)贸易发展有限公司
    上海分公司
    电话:+86-18201729922
    地址:苏州市吴江区东太湖大道11666号开平商务中心B幢361室

    公众号二维码